Highlights
- Climate change is shifting the flowering phenology of wind-pollinated trees. It is key quantify the sensitivity and understand the mechanisms of these phenological responses.
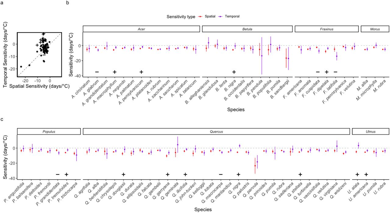
- We investigated the temperature sensitivity of flowering phenology in 74 wind-pollinated tree species across the US using long-term herbarium records spanning over a century.
- We compared spatial and temporal sensitivities in multiple wind-pollinated species to evaluate the roles of plasticity and adaptation in phenological responses of flowering.
Comparing spatial and temporal sensitivities
